关于公布浦江县城西片区城市有机更新
二期国有土地上房屋征收房票安置房源的公告
按《浦江县城西片区城市有机更新二期国有土地上房屋征收补偿方案》相关要求,本机关筹集浦江县城西片区城市有机更新二期房屋征收房票安置房源共11 家房地产开发企业11 个商品房开发项目,现将浦江县城西片区城市有机更新二期房屋征收房票安置房源(排名不分先后,按房源名称首字母排序)详细情况公告如下:


上述房票购房优惠政策由房地产开发企业提供,被征收人按《浦江县城西片区城市有机更新二期国有土地上房屋征收补偿方案》规定享受房票安置补助,仍可享受房地产开发企业提供的房票购房优惠。
浦江县住房和城乡建设局
浦江县人民政府浦阳街道办事处
2025年12月19日
关于公布浦江县城西片区城市有机更新
二期国有土地上房屋征收产权调换房源的公告
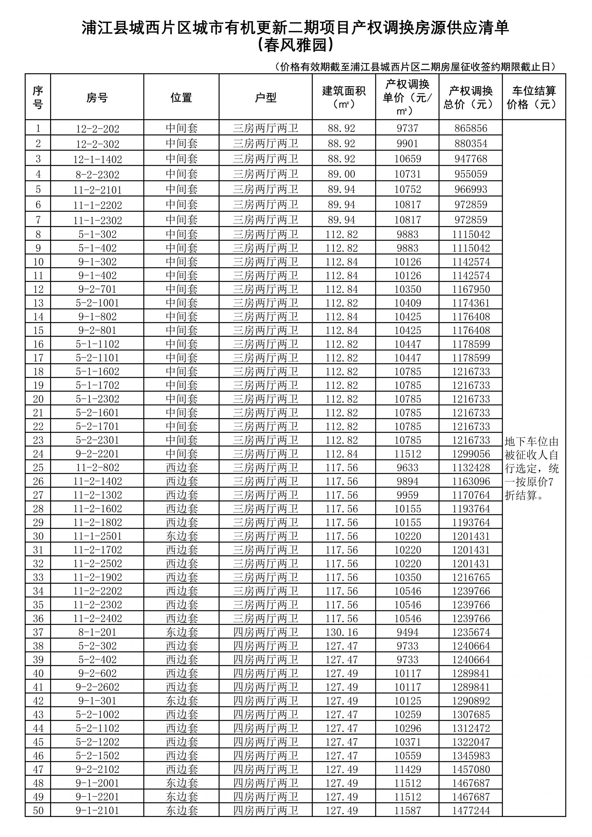
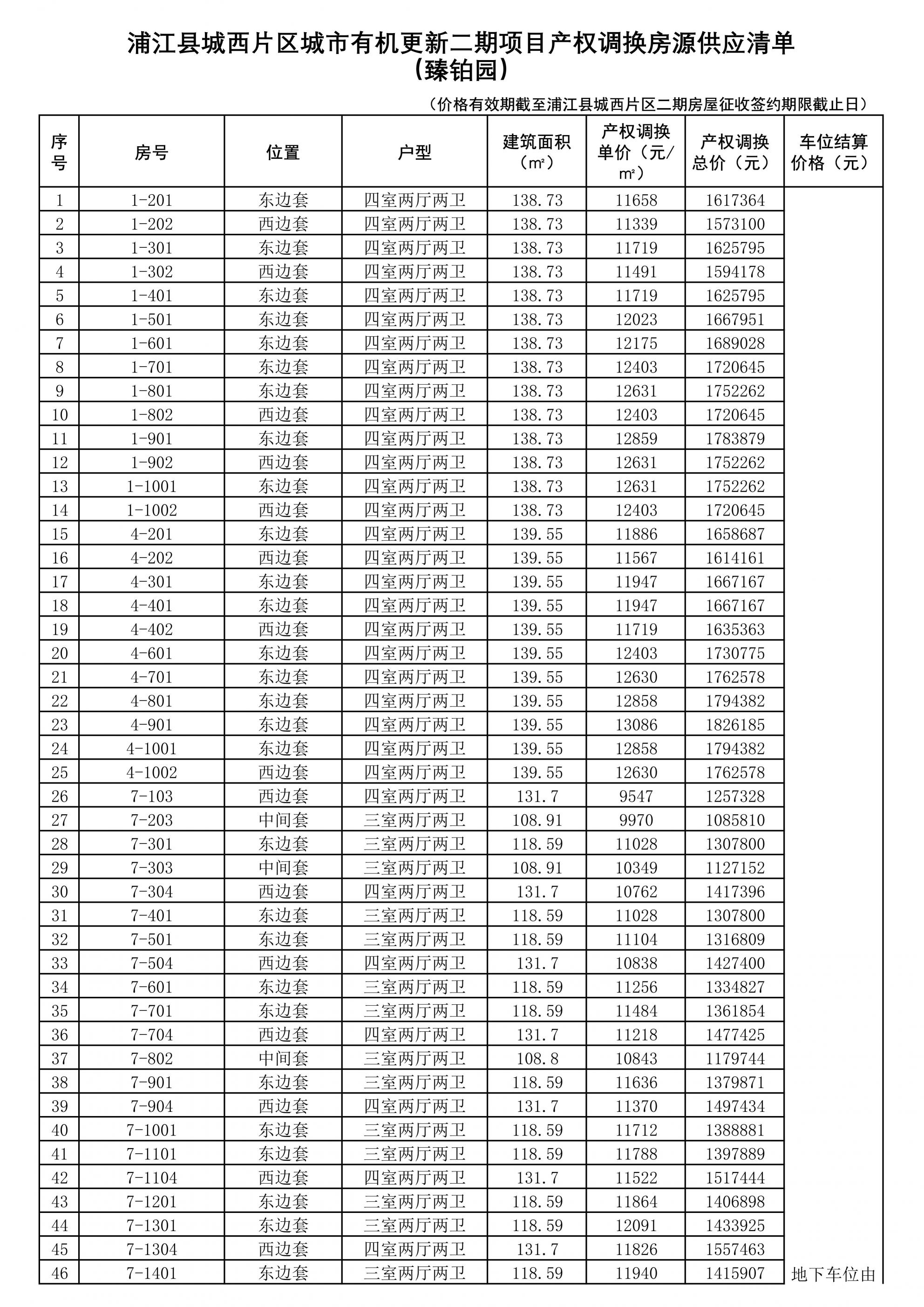
按《浦江县国有土地上房屋征收与补偿实施细则》《浦江县城西片区城市有机更新二期国有土地上房屋征收补偿方案》规定,现将浦江县城西片区城市有机更新二期国有土地上房屋征收产权调换房源公布如下:
浦江县城西片区城市有机更新二期国有土地上房屋征收产权调换房源坐落、房号、户型、建筑面积、产权调换结算价格等信息详见产权调换房源清单。
浦江县住房和城乡建设局
浦江县人民政府浦阳街道办事处
2025年12月19日
























